
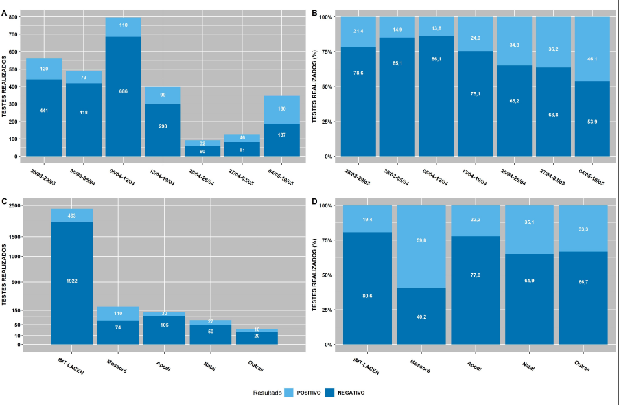
Desde março, a Universidade Federal do Rio Grande do Norte (UFRN), por meio do Instituto de Medicina Tropical (IMT), adquiriu testes e começou a realizar exames para detecção da Covid-19 em pacientes do estado. Com o auxílio do Departamento de Análises Clínicas e Toxicológicas (DACT) e o Departamento de Microbiologia e Parasitologia (DMP), foram processados 2.811 exames até o último dia 10, sendo 426 desses realizados integralmente pela UFRN.
No início, o IMT complementava o trabalho do Laboratório Central de Saúde Pública (Lacen/RN) realizando apenas a amplificação viral por PCR (Reação em Cadeia da Polimerase) para detecção do vírus a partir de amostras recebidas do Lacen. Porém, neste mês, o IMT obteve autorização do Instituto Evandro Chagas (IEC) para também realizar a extração do ácido nucleico viral das amostras respiratórios de pacientes, passando a gerenciar todas as fases desse tipo de exame.
O IMT tem focado suas atenções para os municípios com mortes confirmadas por Covid-19 e com maior número de casos registrados. Por hora, as amostras estão sendo enviadas pelas prefeituras de Natal, Mossoró e Apodi e suas regiões. Atualmente, são realizados 120 exames diários, mas esse número deve ser ampliado. “Estamos preparados para executar 100 mil testes nos próximos dez meses”, ressaltou a diretora do IMT, médica Selma Jerônimo. Os resultados desses testes são compartilhados através do Gerenciador de Ambiente Laboratorial (GAL) que fomenta a base de dados dos governos.

Ligando para os pacientes
Um diferencial no trabalho realizado pela UFRN é que médicos e profissionais da saúde estão fazendo contato telefônico com os pacientes testados através do serviço de teleatendimento do IMT. Nesse contato, as pessoas são informadas sobre o resultado dos exames e orientadas sobre os sintomas apresentados. No caso de paciente positivado, os médicos explicam as possíveis complicações da infecção e aconselham sobre as medidas adequadas de tratamento e proteção de outras pessoas.
O serviço que funciona por meio do telefone (84) 3342-2300, de segunda a sexta, das 8h às 18h, está disponível para qualquer pessoa que apresente algum indício da Covid-19. A proposta busca evitar a aglomeração nas unidades de saúde, principalmente hospitais, o que pode causar mais exposição e disseminação do vírus. Muitas pessoas podem não estar com a doença e serem contaminadas ao buscarem atendimento médico.
Portal UFRN
